23 Find roots (zeroes) of F(x) = x 34x 2x4 Polynomial Roots Calculator is a set of methods aimed at finding values of x for which F(x)=0 Rational Roots Test is one of the above mentioned tools It would only find Rational Roots that is numbers x whichFeb 01, 13 · This video shows an example of graphing the polynomial function f(x)= x^44x^2F (x)= 34x^2x^4 hint let t=x^2 Found 2 solutions by drcole, richard1234 Answer by drcole (72) ( Show Source ) You can put this solution on YOUR website!
5 Figure 2 Figure 2 Shows A Sketch Of The Curve C Gauthmath
F(x)=x^2-4 inverse
F(x)=x^2-4 inverse-©M P2v0H1e6f fKbuhtdaA wSloQfvtuwPaBreo `LLtC^o F RAHlWlO Gr^iEgDhTtCs TrDeFsteDrDvVeOdwM N MOaJdNeC Yw^iltxhC RIPnFfJivnPiytmer fPzrhePcaMlEcJuQlSugsp Worksheet by Kuta Software LLC 2 Solve each inequality 11) x 2 23x 6 > 22x 12) x 3 x 7 > 1 Sketch the graph of each function 13) f (x) = x 4 4x 2 x 4 x yCompute answers using Wolfram's breakthrough technology & knowledgebase, relied on by millions of students & professionals For math, science, nutrition, history, geography, engineering, mathematics, linguistics, sports, finance, music WolframAlpha brings expertlevel knowledge and
 
 


Lesson 1 1 Pages 5 11 State The Domain And Range Of Each Relation Then State Whether The Relation Is A Function Write Yes Or No Pdf Free Download
Apr 07, 15 · The instantaneous rate of change is equal to the slope of the tangent at the required point or, equivalently, the derivative of the function evaluated at that point If f(x) = 4x^2 4x 3 then the derivative is f'(x) = 8x 4 Evaluating this derivative at x=4 gives the instantaneous rate of change 8(4)4 = 36Solution for X^34x^2x4=0 equation Simplifying X 3 4x 2 x 4 = 0 Reorder the terms 4 X 3 x 4x 2 = 0 Solving 4 X 3 x 4x 2 = 0 Solving for variable 'X' Move all terms containing X to the left, all other terms to the right Add '4' to each side of the equation 4 X 3 x 4 4x 2 = 0 4 Reorder the terms 4 4 X 3 x 4x 2 = 0 4 Combine like termsConsider the function below f(x) = 6 4x^2 x^4 (a) Find the interval of increase (Enter your answer using interval notation) ( infinity, squareroot
Algebra > Systemsofequations> SOLUTION Please is f(x) = x^4 4x^2 an even or odd or neither odd nor even function This is my attemp This is my attemp f(x) = x^4 (4x^2) =x^44x^2 =(x^44x^2) Log OnQuestion Given F(x)=(2x^24x2)/(x4) Find A) Vertical Asymptote B) X Intercept C) Y Intercept D) Horizontal Asymptote E)does Graph Cross Horizontal Asymptote?Algebra Graph f (x)=x^44x^2 f (x) = x4 − 4x2 f ( x) = x 4 4 x 2 Graph f (x) = x4 −4x2 f ( x) = x 4 4 x 2
Use the distributive property to multiply 3x^{4}18x^{3}24x^{2} by x1 and combine like termsAnswer and Explanation Given functions f =x4−4x2 g =4x2 f = x 4 − 4 x 2 g = 4 x 2 Solving the 2 equations to determine the intersection points x4−4x2 =4x2 x4−8x2 =0 (x2)(x2−8) = 0 xSketch the graph and find the xvalues (if any) at which f is not continuous Classify the discontinuities as being removable or essential If the latter, state whether it is a jump discontinuity, an infinite discontinuity, or neither help_outline Image Transcriptionclose x4 24·f(x) =x2 x 4x=2
 
 


Estimate The Area Under The Graph Of F X 4 4x 2 Chegg Com
 
 


Solved Given The Function F X 4x 2 Evaluate And Sim Chegg Com
21 Factoring x44x24 The first term is, x4 its coefficient is 1 The middle term is, 4x2 its coefficient is 4 The last term, "the constant", is 4 Step1 Multiply the coefficient of the first term by the constant 1 • 4 = 4 Step2 Find two factors of 4 whose sum equals the coefficient of the middle term, which is 4Compute answers using Wolfram's breakthrough technology & knowledgebase, relied on by millions of students & professionals For math, science, nutrition, historyF(x) = 18x x 1 2 f(x) = 18x x 1 Solution Since f(x) is not continuous at x = 1, it is also not differentiable there Hence x = 1 is a critical point To find other critical points, we take a derivative It is helpful to use negative exponents instead of fractions here



5 Figure 2 Figure 2 Shows A Sketch Of The Curve C Gauthmath
 
 


If F R R Such That F X 4x 4x 2 Find F X F 1 X Maths Relations And Functions Meritnation Com
The function f is defined by f (x) = x4 −4x2 x 1 for −5 ≤ x ≤ 5 What is the interval in which the minimum of value of f Purely a graphical approximation;Given f(x) = x 3, find the inflection point(s) (Might as well find any local maximum and local minimums as well) Start with getting the first derivative f '(x) = 3x 2 Then the second derivative is f "(x) = 6x Now set the second derivative equal to zero and solve for "x" to find possible inflection points 6x = 0 x = 0The first thing to notice here is that f (x) is a continuous function, and that, if we took its limit as x approaches or , the function approaches because of the coefficient of the leading term () is 1 and goes to in either direction
 
 


Calameo Ecuaciones
 
 


Answered 4 1 32 F T 2 I 1 O 33 Bartleby
Minimum f = 463, nearly This is improved to 8sd, \displaystyle {} , using an iterative numerical methodHowever, the normalised sinc function (blue) has arg min of {−143, 143}, approximately, because their global minima occur at x = ±143, even though the minimum value is the same 1 In mathematics , the arguments of the maxima (abbreviated arg max or argmax ) are the points, or elements , of the domain of some function at which theFree functions calculator explore function domain, range, intercepts, extreme points and asymptotes stepbystep
 
 


F X 4x 2 And G X 3x 1 Find F G 4 Help Me With Solution Pls Brainly Ph
 
 


Chapitre 13 Fonctions Affines I X 8exercice 1 Parmi Les Fonctions Donnees Indiquer Celles Qui Nosdevoirs Fr
Free functions inverse calculator find functions inverse stepbystepSOLUTION 1 Begin with x3 y3 = 4 Differentiate both sides of the equation, getting (Remember to use the chain rule on D ( y3 ) ) so that (Now solve for y ' ) Click HERE to return to the list of problems SOLUTION 2 Begin with ( x y) 2 = x y 1 Differentiate bothNamely, everywhere that the original formula has an " x ", I will now plug in an " x h "
 
 


Lesson 1 1 Pages 5 11 State The Domain And Range Of Each Relation Then State Whether The Relation Is A Function Write Yes Or No Pdf Free Download
 
 


Identites Remarquables Ppt Video Online Telecharger
Apr 05, 15 · To find the critical points, we must set the derivative of f(x) equal to zero The critical points are the location of maximum and minimum points of a graph The max and min have lines whose slope is zero hat are tangential to them Let's make f(x) easier to find the derivative of f(x) = 10(x 1)(x 1)ex f(x) = 10ex (x 2 2x 1) d/dxf(xJul 22, 11 · I am told that d/dx(f(3x^4))=6x^4 I need to calculate f ' (x) i have tried like 3 different methods and have no idea how to do this Help please!Sometimes for expressions that cannot be factored, graphing might be your only option
 
 


F X X 2 2x 4 X 2 F X X 2 4x X 2 2 F X 8 X 2 3 How To Find The Domain Of F X X And Y Intercepts Vertical Asymptotes The Critical Numbers Concave Up And Down And Sketch Graph Socratic
 
 


Answered 38 Find The Intercepts Of F X X Bartleby
Apr 28, · AnswerThe Answer is AStepbystep explanationI got (4x^2x^4)(x^24) I just took this as a review saraiavrielle saraiavrielle 04/28/ Mathematics College answered Find (fg)(x) if f(x)=4x^2x^4 and g(x)=square root x^24 1 See answer saraiavrielle is waiting for your help Add your answer and earn pointsF) Graph The Function This problem has been solved!Given {eq}f(x) = 7 4x^2 x^4 {/eq} Find the interval of increase and decrease Find the local minimum and maximum values Find the inflection points, and the intervals where the graph is
 
 


Example 25 Let F X 4x 2 12x 15 Show That F Is Invertible
 
 


If F X 1 2x 2 4x 4 6x 6 100x 100 Is A Polynomial In Real Variable X Then F X Has Youtube
Jul 22, 18 · Even function Given function f(x)=4x^2x^41 \implies f(x)=4(x)^2(x)^41 =4x^2x^41 =f(x) \because f(x)=f(x) hence the given function is even function PrecalculusGraph f(x)=x^34x^2x4 Find the point at Tap for more steps Replace the variable with in the expression Simplify the result Tap for more steps Simplify each term Tap for more steps Raise to the power of Raise to the power of Multiply by Multiply by Simplify by adding and subtracting Tap for more stepsDec 23, 13 · The expression for f(x) cannot, unfortunately, be factored One solution that suggests itself immediately is x = 1 F(1) = (1) 3 4*(1) 2 1 = 6 (which is true) Are you allowed to graph the function, Queneshia?
 
 


If Alpha And Beta Are Zeroes Of Polynomial P X 4x2 5x 1 Find The Value Of A Alpha 2 Beta 2 B Brainly In
 
 


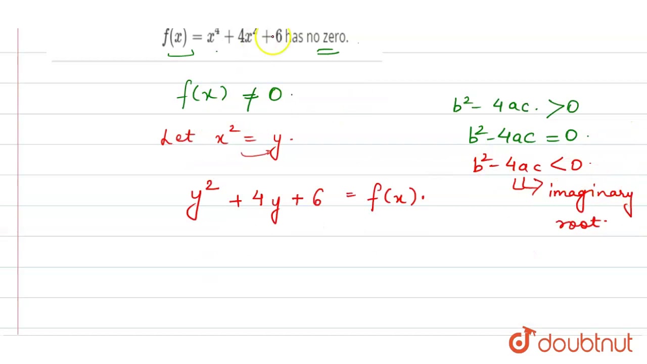
Show That The Polynomial F X X 4 4x 2 6 Has No Zero Youtube
Given that f (x) = 3x 2 2x, find f (x h) This one feels wrong, because it's asking me to plug something that involves x in for the original x But this evaluation works exactly like all the others;Mar 08, 17 · If f(x)=4x^23 and g(x)=x1,find (fg)(x)x^2x2B4x^33Cx4x^22D4x^2x4 Get the answers you need, now!



If F
 
 


How Do You Find The Critical Points For F X X 2 4x 12 Socratic



Factor 4x 2 4x 1
 
 


Algebra Ii Operations On Functions
 
 


Answered Unc 6 X 2x 7x 11 2 X2 X 1 Bartleby
 
 


F X 3 Find The Numerical Value Of
 
 


Slides Show
 
 


Example 10 Find The Intervals In Which F X X2 4x 6
 
 


Finding Inverse Functions Quadratic Example 2 Video Khan Academy
 
 


Solve The Equation X 4 4x 2 8x 35 0 Having One Root As 2 I Sqrt 3 Youtube
 
 


Fx 15 Isi Ex 2 If The Function F X Defined As 4 64x For 4 12 9 5 For X 4 3 Show That F X Has A Removable Discontinuity At X 4
 
 


Ex 1 3 4 If F X 4x 3 6x 4 Show That Fof X X
 
 


Qui Peut M Aider A Faire Les Exercices 35 Et 37 S Il Vous Plait C Est Urgent Nosdevoirs Fr
 
 


Example 8 Show F X X3 3x2 4x Is Strictly Increasing
 
 


How Do You Graph F X X 2 3x 4x 4 Using Holes Vertical And Horizontal Asymptotes X And Y Intercepts Socratic
 
 


Find The Greatest Common Divisor Of F X 2x 3 2x 2 X 4 And G X X 4 3x 3 4x 2 3x Mathematics Stack Exchange
 
 


If F X 4 X 4 X 2 Then F X F 1 X Is Equal To
 
 


If F X X 4 8x 3 4x 2 4x 39 And F 3 2i A Ib Then The Vaue Of A B Is Youtube
 
 


Serie N 2 Fonctions Numeriques Ts2 Renf
 
 


Consider The Function Below If An Answer Does Not Chegg Com
 
 


Show That The Polynomial F X X 4 4x 2 6 Has
 
 


If F X 4x X 2 X In R Then Write The Value Of F A 1 F A 1
 
 


Najti Obshij Vid Pervoobraznoj A F X 4x 5 2x 2 3 B F X X 2 3x 2 V F X Sin X 2 Cos Shkolnye Znaniya Com



Solved If F X 4x 2 3x 2 Evaluate F 1 State The Domain Of The Function F X X 3 X 1 Write The Equation Of The Line That Passes Th Course Hero
 
 


If F X 2x 6 3x 4 4x 2 Then F X Is
 
 


Show That The Polynomial F X X4 4x2 6 Has No Zero Solution
 
 


What Is 4x 2 Times 4x 2
 
 


What Is 4x 2 Times 2x



Kurvendiskussion Durchfuhren F X X 4 4x 2 Mathelounge
 
 


Najti F X Funkcii F X 4x 2 X 3 Grafik Kotoroj Prohodit Cherez Tochku N 2 2 Shkolnye Znaniya Com
 
 


F X X4 3x2 4 Search For A Good Cause
 
 


Ex 1 3 4 If F X 4x 3 6x 4 Show That Fof X X
 
 


Lesson 1 1 Pages 5 11 State The Domain And Range Of Each Relation Then State Whether The Relation Is A Function Write Yes Or No Pdf Free Download
 
 


If F X 1 4x 2 2x 1 Then Its Maximum Value Is 4 3 B 2 3 C 1 D 3 4 Youtube
 
 


If G X X 2 X X 1 And G F X 4x 2 10x 5 Then Find F 5 4
 
 


The Function F X 4 X 2 4x X 3 Is
 
 


Consider The Function Below If An Answer Does Not Chegg Com
 
 


Ml Aggarwal Solutions For Class 10 Maths Chapter 6 Factorization Access Free Pdf
 
 


The Function F X 4 1 4x 2 Is Represented As A Chegg Com
 
 


If F X 1 4x 2 0lt X 1 And X 2 2x 1lt X 2 Where Denotes
 
 


If The Polynomial F X Px 3 4x 2 3x 4 And G X X 3 4x P Are Divided By X 3 Then The Brainly In
 
 


If The Function F X Is Defined As F X X 4 64x X 2 9 5 For X 4 3 For X 4 Show That F X Has A Removable Discontinuity At X 4
 
 


Rd Sharma Solutions For Class 10 Chapter 8 Quadratic Equations Exercise 8 6 Avail Pdf
 
 


9 Polynomials Example 1 The Expression A X X 3 4x 2 7x 11 Is A Polynomial In X The Coefficients Of A X Are The Numbers 1 4 7 Pdf Free Download
 
 


3 U X2 1 3x3 6x 5 4 4x2 2x 1 2 3 5x 5 Chegg Com
 
 


Find F G X For The Following Functions F X 2x2 7x 6 G X 4x 6 Brainly Com
 
 


Answered 29 F X 4x2 2 And G 3 A Bartleby
 
 


Algebra 2 Midterm Exam Review Solutions Ppt Download
 
 


Use The Graph That Shows The Solution F X G X F X 3 4x 2 3x 1 G X 2 X What Is The Brainly Com



Solved Solve The Problem F X X 4 4x 2 221 A Factor The Polynomial Over The Set Of Real Numbers Factor The Polynomial Over The Set Of Com Course Hero
 
 


Answered Evaluate The Piecewise Defined Bartleby
 
 


Find The Derivative Of The Function F X 2 4x Chegg Com



Math Project Mr Bev 1 5 Storyboard By 125a6b05
 
 


Najdite Pervoobraznye Sleduyushih Funkcij F X 4x 2 X 2 Shkolnye Znaniya Com
 
 


If F X X 3 4x 2 Lambdax 1 Is A Monotonically Decreasing Functio
 
 


What Is 4x 2 Times 2x
 
 


Solved Show That The Polynomial Fx X 4 4x 2 6 Has No Zero Self Study 365
 
 


F X X 3 4x 2 3x 10 G X
 
 


Example 25 Let F X 4x 2 12x 15 Show That F Is Invertible
 
 


Hrptxyd7yz4yqm



Solved If F X 4x 2 3x 2 Evaluate F 1 State The Domain Of The Function F X X 3 X 1 Write The Equation Of The Line That Passes Th Course Hero
 
 


If G X Is The Inverse Function Of F X Find Chegg Com
 
 


Find F G X If X X 2 3 And G X 4x 2 X 4 Brainly Com
 
 


9 Polynomials Example 1 The Expression A X X 3 4x 2 7x 11 Is A Polynomial In X The Coefficients Of A X Are The Numbers 1 4 7 Pdf Free Download
 
 


Let F X Min 4x 1 X 2 2x 4 Then The Maximum Value Of F X Is Youtube
 

 

0 件のコメント:
コメントを投稿